|
197. A Radical Chlorodifluoromethylation Protocol for Late Stage Difluoromethylation and Its Application to An Oncology Candidate

Meng, Depei; Li, Lingchun; Brown, Adam; Desrosiers, Jean-Nicolas; Duan, Shengquan*; Hayward, Cheryl M.; He, Zhengbiao; Hu, Jinbo*, Makowski, Teresa; Maloney, Mark; Monfette, Sébastien; Perfect, Ha...
|
|
[The preparation of ClCF2SO2Na can be scaled up to hundreds of kilograms]
196. Synthesis of Enantiopure Benzo Fused Cyclic Sulfoximines Through Stereoselective [3+2] Cycloaddition between N-tert-Butanesulfinyl [(2-Pyridyl)sulfonyl]-difluoromethyl Ketimines and Arynes

Rong, Jian; Ni, Chuanfa; Gu, Yucheng; Hu, Jinbo* Helv. Chim. Acta 2021, 104, e2100019 (Invited contribution)
|
|
195. Deoxyfluorination of Carboxylic Acids with CpFluor: Access to Acyl Fluorides and Amides

Wang, Xiu; Wang, Fei; Huang, Fengfeng; Ni, Chuanfa; Hu, Jinbo* Organic Letters 2021, 23, 1764–1768 (Featured by Organic Chemistry Portal)
|
|
194. Nickel-Catalyzed Reductive 2-Pyridination of Aryl Iodides with Difluoromethyl 2-Pyridyl Sulfone

Miao, Wenjun; Ni, Chuanfa; Xiao, Pan; Jia, Rulong; Zhang, Wei; Hu, Jinbo* Organic Letters 2021, 23, 711–715. (Featured by Organic Chemistry Portal)
|
|
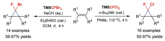
193. TMSCFX2 (X = Cl, Br) as Halofluorocarbene Sources for the Synthesis of Halofluorocyclopropanes

Chen, Dingben; Fan, Zili; Huang, Ling; Gao, Kaili; Xiao, Pan; Ni, Chuanfa; Hu, Jinbo* Chemical Communications 2021,57, 319-322. (Featured on the inside front cover) (Featured by RSCChina) (Featured...
|
|
192. 涉及碳-氟键断裂与重组的氟化重排反应: 由炔丙基氟制备官能团化偕二氟烯丙基化合物 (Fluorinative Rearrangement Involving Cleavage and Recombination of Carbon-Fluorine Bond:

倪传法(Ni, Chuanfa), 胡金波(Hu, Jinbo)* 有机化学 2020, 40, 2997–2998. (邀请述评)
|
|
191. A novel photoredox-active group for the generation of fluorinated radicals from difluorostyrenes

Zubkov, Mikhail O.; Kosobokov, Mikhail D.; Levin, Vitalij V.; Kokorekin, Vladimir A.; Korlyukov, Alexander A.; Hu, Jinbo; Dilman, Alexander D.* Chemical Science 2020, 11, 737–741.
|
|
190. Generation of Carbocations Under Photoredox Catalysis: Electrophilic Aromatic Substitution with 1-Fluoroalkylbenzyl Bromides

Kuang, Cuiwen; Zhou, Xin; Xie, Qiqiang; Ni, Chuanfa; Gu, Yu-Cheng; Hu, Jinbo* Organic Letters 2020, 22, 8670–8675.
|
|
189. Difluoromethylation of Alcohols with TMSCF2Br in Water: A New Insight into the Generation and Reactions of Difluorocarbene in a Two-Phase System

Zhang, Rongyi; Ni, Chuanfa; Xie, Qiqiang; Hu, Jinbo* Tetrahedron 2020, 76, art. no. 131676.
|
|
188. Difluorocarbene-Triggered Cyclization: Synthesis of (Hetero)arene-Fused 2,2-Difluoro-2,3-dihydrothiophenes

Liang, Huamin; Liu, Ran; Zhou, Min; Fu, Yue; Ni, Chuanfa*; Hu, Jinbo* Organic Letters 2020, 22, 7047–7051.
|
|
187. In Deep Memory of Professor Rolf Huisgen, A Great Chemist, Who Passed Away on March 26, 2020

Tang, Yong*; Hu, Jinbo* Chinese Journal of Chemistry 2020, 38, 529. (Memorial)
|
|
186. Novel Usage of 2-BTSO2CF2H for Metal-free Electrophilic Difluoroalkanethiolation of Indoles

Wei, Jun; Bao, Kun; Wang, Yuan; Sheng, Rong*; Hu, Jinbo* Organic & Biomolecular Chemistry 2020, 18, 4556–4559.
|
|
185. From C1 to C3: Copper-Catalyzed gem-Bis(trifluoromethyl)olefination of α-Diazo Esters with TMSCF3

Wang, Qian; Ni, Chuanfa; Hu, Mingyou; Xie, Qiqiang; Liu, Qinghe; Pan, Shitao; Hu, Jinbo* Angewandte Chemie, International Edition 2020, 59, 8507–8511. (Selected as Hot Paper) (Featured by X-MOL)
|
|
184. Stereoselective Nucleophilic Monofluoromethylation of tert-Butanesulfinimines: Dynamic Thermodynamic Resolution of Racemic α-Fluoro Carbanions

Ye, Wenchao; Ni,Chuanfa; Hu, Jinbo* Journal of Fluorine Chemistry 2020, 231, e109451. (Invited Contribution)
|
|
183. Highly Diastereoselective and Thermodynamically Controlled Nucleophilic Addition of α-Fluoro-α-phenylthio-α-phenylsulfonylmethane (FTSM) to Aldehydes

Ye, Wenchao?; Zhu, Lingui?; Luo, Qinyu; Ni, Chuanfa; Hu, Jinbo* (? Equal contribution) Tetrahedron 2020, 76, e130877. (Invited Contribution)
|
|
|
|