• 首 页
  • 机构概况
    • 实验室简介
    • 组织架构
    • 现任领导
    • 学术委员会
    • 依托单位情况
  • 新闻公告
    • 综合新闻
    • 通知公告
  • 人才队伍
    • 科研队伍
  • 研究动态
    • 研究方向
    • 科研进展
    • 荣誉奖励
    • 专利项目
  • 合作交流
    • 学术交流
    • 国内合作
    • 国际合作
  • 开放共享
    • 开放课题
      • 申请指南
      • 历届开放课题
  • 科学传播
    • 科普动态
  • 加入我们
    • 人才招聘
  • 联系我们
  • 学术活动
所主站  |  中国科学院  |  联系我们
  • 首 页
  • 机构概况
    • 实验室简介
    • 组织架构
    • 现任领导
    • 学术委员会
    • 依托单位情况
  • 新闻公告
    • 综合新闻
    • 通知公告
  • 人才队伍
    • 科研队伍
  • 研究动态
    • 研究方向
    • 科研进展
    • 荣誉奖励
    • 专利项目
  • 合作交流
    • 学术交流
    • 国内合作
    • 国际合作
  • 开放共享
    • 开放课题
      • 申请指南
      • 历届开放课题
  • 科学传播
    • 科普动态
  • 加入我们
    • 人才招聘
研究动态
研究方向
科研进展
荣誉奖励
专利项目
  • 当前位置:首页研究动态科研进展
  • 科研进展
    • 2024-03-06

      黄河课题组合作开发蛋白质N-端组学深度检测方法

      2024年2月29日,中国科学院上海药物研究所黄河团队和柳红团队合作,在国际学术期刊J Am Chem Soc上...
    • 2024-02-26

      上海有机所在化学-酶催化高效合成9,10-开环甾体天然产物研究中取得进展

      甾体作为仅次于抗生素的第二大类药物,在医药健康等领域扮演着十分重要的角色,9,10-开环甾体(9,10...
    • 2024-01-15

      上海有机所交叉中心团队揭示衰老导致细胞稳态水平衰退的分子机制

      衰老是一种不可逆的发生在所有后生动物中的生物学过程,其特征是细胞和组织功能随时间衰退。衰老是...
    • 2023-12-25

      上海有机所在遗传编码的光催化调控活体小鼠神经元研究取得进展

      神经元具有环境快速响应特性,其在体实时调控十分重要。但由于神经元的复杂环路及精细亚细胞结构,...
    • 2023-12-13

      上海有机所在1,3-硼迁移至酮的可见光驱动反应研究方面取得进展

       有机硼酸易于获得且对环境友好,在过渡金属催化Suzuki-Miyaura交叉偶联反应等研究领域已取得巨大...
    • 2023-12-04

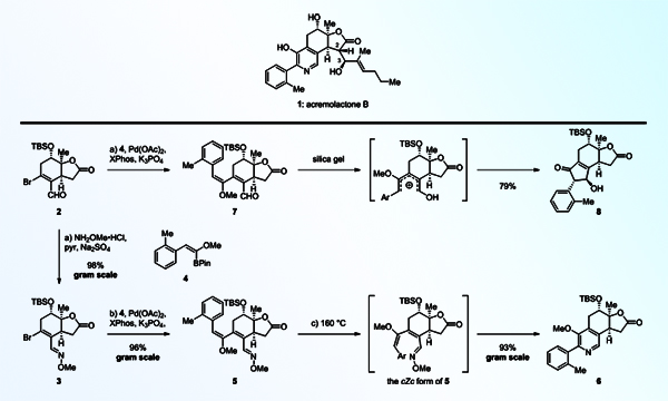
      上海有机所在虎皮楠生物碱合成研究中取得进展

      虎皮楠生物碱是天然产物合成领域一类引人关注的目标分子。该家族包含300多个成员,在过去50年间仅有...
    • 2023-12-04

      上海有机所在阿扎菲酮型天然产物合成研究中取得进展

      阿扎菲酮 (azaphilone) 是一类含有吡喃醌母核或其变体的聚酮天然产物,具有抗肿瘤、抗菌、抗炎等...
    • 2023-11-14

      上海有机所联合创制双烯双胺:一种有望替代百草枯的安全除草剂

       百草枯由于其除草迅速、高效、广谱、成本低廉、对植物根系无毒性等优点,自1962年上市以来迅速成...
    • 2023-10-18

      上海有机所在E3泛素连接酶HOIL-1L的催化机制和调控机理研究方面取得新进展

       泛素化修饰是哺乳动物细胞中广泛存在的一种蛋白质翻译后修饰,包括单泛素化修饰和不同连接方式的...
    • 2023-09-13

      上海有机所交叉中心利用多肽碘化修饰创建功能性淀粉样纤维“万花筒”

      蛋白质淀粉样纤维是蛋白质的一种重要的自组装形式,最早发现于多种神经退行性疾病患者的病理脑组织...
    • 2023-08-21

      上海有机所在烯基硫醚环肽形成机制的基因组挖掘研究中取得进展

      核糖体肽是一类通过翻译后修饰化学创造的肽类天然产物,很多成员具有良好的生物活性。尽管来源于20...
    • 2023-08-21

      上海有机所交叉中心与合作者解析首个Piezo复合物三维结构

      Piezo家族离子通道感知机械力环境变化,将机械力信号转化为下游电化学信号,介导多种重要的生理活动...
    678910
    查看更多
    地址:中国上海市零陵路345号邮政编码:200032
    电话:0086-21-54925000传真:0086-21-64166128E-mail:bnpc@mail.sioc.ac.cn
    版权所有 © 2008- 中国科学院上海有机化学研究所 生命过程小分子调控全国重点实验室沪ICP备05005485号-1