• 首 页
  • 机构概况
    • 实验室简介
    • 组织架构
    • 现任领导
    • 学术委员会
    • 依托单位情况
  • 新闻公告
    • 综合新闻
    • 通知公告
  • 人才队伍
    • 科研队伍
  • 研究动态
    • 研究方向
    • 科研进展
    • 荣誉奖励
    • 专利项目
  • 合作交流
    • 学术交流
    • 国内合作
    • 国际合作
  • 开放共享
    • 开放课题
      • 申请指南
      • 历届开放课题
  • 科学传播
    • 科普动态
  • 加入我们
    • 人才招聘
  • 联系我们
  • 学术活动
所主站  |  中国科学院  |  联系我们
  • 首 页
  • 机构概况
    • 实验室简介
    • 组织架构
    • 现任领导
    • 学术委员会
    • 依托单位情况
  • 新闻公告
    • 综合新闻
    • 通知公告
  • 人才队伍
    • 科研队伍
  • 研究动态
    • 研究方向
    • 科研进展
    • 荣誉奖励
    • 专利项目
  • 合作交流
    • 学术交流
    • 国内合作
    • 国际合作
  • 开放共享
    • 开放课题
      • 申请指南
      • 历届开放课题
  • 科学传播
    • 科普动态
  • 加入我们
    • 人才招聘
研究动态
研究方向
科研进展
荣誉奖励
专利项目
  • 当前位置:首页研究动态科研进展
  • 科研进展
    • 2013-07-23

      唐功利课题组在抗肿瘤天然产物生物合成研究中取得新进展

      越野他汀(Kosinostatin,KST)是由海洋小单孢菌产生的、具有良好抗肿瘤活性的蒽环类抗生素。该天然...越野他汀(Kosinostatin,KST)是由海洋小单孢菌产生的、具有良好抗肿瘤活性的蒽环类抗生素。该天然...
    • 2013-07-17

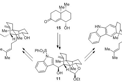
      李昂课题组在吡咯啉并吲哚啉类生物碱的全合成中取得进展

      Drimentine类生物碱是一类结构独特的吡咯啉并吲哚啉类天然产物。常见的吡咯啉并吲哚啉类天然产物在...Drimentine类生物碱是一类结构独特的吡咯啉并吲哚啉类天然产物。常见的吡咯啉并吲哚啉类天然产物在...
    • 2013-07-05

      李昂课题组在《自然•化学》上发表天然产物全合成重要进展

      虎皮楠生物碱 (Daphniphyllum alkaloid) 是一大类从虎皮楠科植物中分离得到的具有化学、生物和生物...虎皮楠生物碱 (Daphniphyllum alkaloid) 是一大类从虎皮楠科植物中分离得到的具有化学、生物和生物...
    • 2013-05-29

      李昂课题组在天然产物的发散性全合成中取得进展

      台湾杉醌 (taiwaniaquinoids) 是一类具有6,5,6-松香烷骨架结构的二萜天然产物。自其于1995年首次从...台湾杉醌 (taiwaniaquinoids) 是一类具有6,5,6-松香烷骨架结构的二萜天然产物。自其于1995年首次从...
    • 2013-05-20

      俞飚课题组完成首例海星皂苷的合成

      甾体皂苷广泛存在于各类植物,而在动物界却非常少见。海星(Asteroidea)是个例外,在迄今研究过的近...甾体皂苷广泛存在于各类植物,而在动物界却非常少见。海星(Asteroidea)是个例外,在迄今研究过的近...
    • 2013-05-14

      汤文军课题组在手性药物的合成上取得新进展

      手性β-芳基胺结构广泛存在于具有重要生理功能的天然产物和药物分子中。寻找和发展高效的合成手性β...深口袋手性膦配体的设计及其在不对称氢化合成手性β-芳基胺中的应用手性β-芳基胺结构广泛存在于具...
    • 2012-06-05

      唐功利课题组在抗肿瘤天然产物生物合成研究中取得新进展

      我室唐功利课题组近期在两个复杂抗肿瘤天然产物的生物合成研究中取得突破性进展,研究结果分别发表...我室唐功利课题组近期在两个复杂抗肿瘤天然产物的生物合成研究中取得突破性进展,研究结果分别发表...
    • 2012-05-21

      生命有机化学国家重点实验室李昂课题组在天然产物全合成方面取得进展

      吲哚萜类天然产物因其化学结构和生物活性一直受到有机合成化学家的关注。Anominine代表了一类从真菌...吲哚萜类天然产物因其化学结构和生物活性一直受到有机合成化学家的关注。Anominine代表了一类从真菌...
    • 2012-04-24

      伍贻康课题组发表高效的天然产物IKD-8344全合成方法

      A highly efficient enantioselective total synthesis of the natural antibiotic IKD-8344 is ach...Three Rings in One Step: A Quick Approach to IKD-8344Dr. Yang Zou and Prof. Dr. Yikang WuAnge...
    • 2011-09-30

      瞿旭东副研究员(刘文课题组)等在Angew杂志发表研究论文

      Transcriptome mining of active biosynthetic pathways with their associated (known and unknown...研究进展简报生命有机化学国家重点实验室瞿旭东副研究员(刘文课题组)等在Angew杂志发表研究论文:...
    • 2011-06-08

      俞飚课题组Angew杂志论文――核苷合成新方法

      核苷在生命过程中起关键作用,大量人工合成的核苷类化合物则通过干涉这些作用而成为重要的药物。糖...合成核苷的高效方法:糖基邻炔基苯甲酸酯在一价金催化下与嘧啶和嘌呤的N-糖苷化反应张庆举, 孙建松...
    • 2011-04-06

      唐功利研究员课题组在JACS杂志发表文章

      Cloning and Elucidation of the FR901464 Gene Cluster Revealing a Complex Acyltransferase-less...http://pubs.acs.org/doi/abs/10.1021/ja105649gCloning and Elucidation of the FR901464 Gene Clu...
    1617
    查看更多
    地址:中国上海市零陵路345号邮政编码:200032
    电话:0086-21-54925000传真:0086-21-64166128E-mail:bnpc@mail.sioc.ac.cn
    版权所有 © 2008- 中国科学院上海有机化学研究所 生命过程小分子调控全国重点实验室沪ICP备05005485号-1