
2014年5月,德国Leibniz Institute for Natural Product Research and Infection Biology的Hertweck等从厌氧菌Clostridium beijerinckii中分离得到多酚天然产物clostrubin。该化合物对耐药菌MRSA和VRE表现出很强的抑制活性。
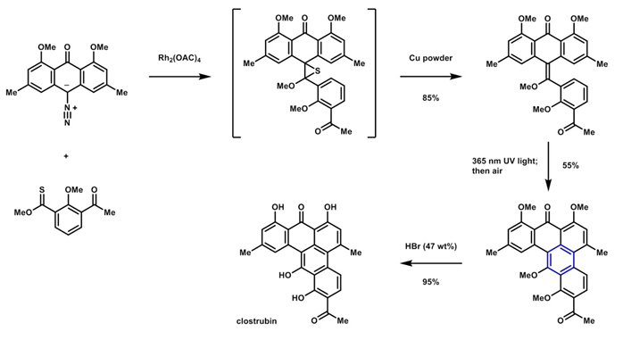
生命有机化学国家重点实验室李昂课题组的研究人员阳铭博士和李健仅用5个月完成了clostrubin的首次全合成 (Nature Communications 2015, 6, 6445)。在合成中利用铑催化的Barton−Kellogg烯基化反应连接重氮化合物和硫代酯,形成具有大位阻的四取代烯烃。基于其自身的对称性,此烯烃不存在顺反几何构型的控制问题。通过紫外光照射可实现该共轭烯烃的6π电环化反应,所得产物在空气中自动芳构化形成多环高级中间体。该合成路线最长线性步骤仅9步,可以便捷地提供数百毫克的样品,解决了天然产物来源稀少的问题,也充分体现了以6π电环化/芳构化为核心策略的汇聚式合成的效率优势。该策略近期已被李昂课题组应用于多个天然产物的全合成中。
该项工作受到科技部973计划青年项目、国家自然科学基金委优秀青年基金和重大研究计划、中国博士后基金、中组部青年拔尖人才计划、科技部创新人才推动计划、上海市浦江人才计划、生命有机化学国家重点实验室和中国科学院的大力资助。

附件下载: