• 首 页
  • 机构概况
    • 实验室简介
    • 组织架构
    • 现任领导
    • 学术委员会
    • 依托单位情况
  • 新闻公告
    • 综合新闻
    • 通知公告
  • 人才队伍
    • 科研队伍
  • 研究动态
    • 研究方向
    • 科研进展
    • 荣誉奖励
    • 专利项目
  • 合作交流
    • 学术交流
    • 国内合作
    • 国际合作
  • 开放共享
    • 开放课题
      • 申请指南
      • 历届开放课题
  • 科学传播
    • 科普动态
  • 加入我们
    • 人才招聘
  • 联系我们
  • 学术活动
所主站  |  中国科学院  |  联系我们
  • 首 页
  • 机构概况
    • 实验室简介
    • 组织架构
    • 现任领导
    • 学术委员会
    • 依托单位情况
  • 新闻公告
    • 综合新闻
    • 通知公告
  • 人才队伍
    • 科研队伍
  • 研究动态
    • 研究方向
    • 科研进展
    • 荣誉奖励
    • 专利项目
  • 合作交流
    • 学术交流
    • 国内合作
    • 国际合作
  • 开放共享
    • 开放课题
      • 申请指南
      • 历届开放课题
  • 科学传播
    • 科普动态
  • 加入我们
    • 人才招聘
研究动态
研究方向
科研进展
荣誉奖励
专利项目
  • 当前位置:首页研究动态科研进展
  • 科研进展
    • 2015-04-14

      俞飚课题组完成对新颖的十碳双环单糖Bradyrhizose的合成

      脂多糖Nod factor是生物固氮在起始阶段起决定性作用的分子,它决定了固氮菌与植物之间的相互识别。...脂多糖Nod factor是生物固氮在起始阶段起决定性作用的分子,它决定了固氮菌与植物之间的相互识别。...
    • 2015-03-13

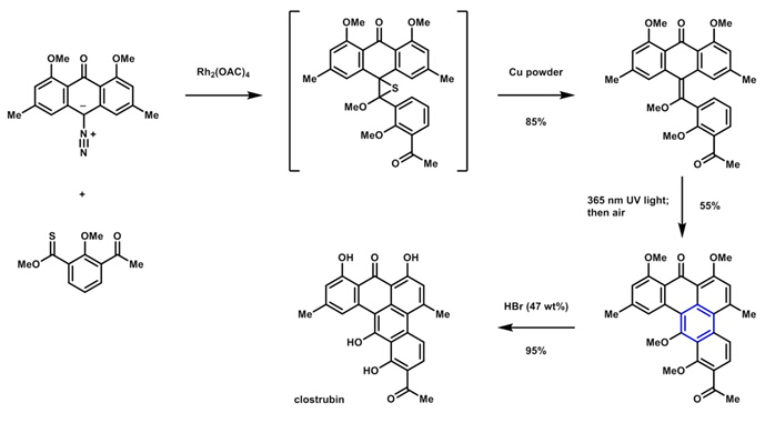
      李昂课题组完成抗菌多酚clostrubin的首次全合成

      2014年5月,德国Leibniz Institute for Natural Product Research and Infection Biology的Hertweck...2014年5月,德国Leibniz Institute for Natural Product Research and Infection Biology的Hertweck...
    • 2015-03-08

      刘文组在螺环乙酰乙酸内酰胺/内酯类抗生素的生物合成机制研究方面获重大突破

      狄尔斯(Diels)-阿尔德(Alder)反应(简称D-A反应)是合成化学中最重要的反应类型之一。合成化学中...狄尔斯(Diels)-阿尔德(Alder)反应(简称D-A反应)是合成化学中最重要的反应类型之一。合成化学中...
    • 2015-02-05

      李昂课题组完成Xiamycin和Oridamycin家族吲哚倍半萜的全合成

      Xiamycin A代表了一类结构独特的吲哚倍半萜,由德国Leibniz Institute for Natural Product Researc...Xiamycin A代表了一类结构独特的吲哚倍半萜,由德国Leibniz Institute for Natural Product Researc...
    • 2015-01-21

      俞飚课题组完成中药免疫抑制成份杠柳苷Periploside的首次全合成

      杠柳(Periploca sepium Bge.)的干燥根皮又名北五加皮或香加皮等,是祛风湿、强筋骨的传统中药。19...杠柳(Periploca sepium Bge.)的干燥根皮又名北五加皮或香加皮等,是祛风湿、强筋骨的传统中药。19...
    • 2015-01-19

      刘文课题组在生物小分子硫醇体内功能研究方面取得重大突破

      2015年1月14日,Nature杂志在线发表了中国科学院上海有机化学研究所刘文研究团队题名为“Metabolic ...2015年1月14日,Nature杂志在线发表了中国科学院上海有机化学研究所刘文研究团队题名为“Metabolic ...
    • 2014-11-19

      唐功利课题组在抗肿瘤天然产物FR901464的生物合成课题取得新进展(III)

      聚酮类天然产物具有复杂多样的化学结构,是目前成药比例最高的一类天然产物;其生物合成是由聚酮合...聚酮类天然产物具有复杂多样的化学结构,是目前成药比例最高的一类天然产物;其生物合成是由聚酮合...
    • 2014-11-13

      李昂课题组完成五味子三萜Rubriflordilactone A的首次全合成

      五味子三萜 (Schisandraceae triterpenoids) 是一大类从我国药用植物五味子中分离获得到的具有新颖...五味子三萜 (Schisandraceae triterpenoids) 是一大类从我国药用植物五味子中分离获得到的具有新颖...
    • 2014-10-22

      我国科研人员发现环氧水解酶存在独立的产物释放通道

      中国科学院上海有机化学研究所周佳海课题组与华东理工大学许建和课题组合作,在环氧水解酶的结构解...中国科学院上海有机化学研究所周佳海课题组与华东理工大学许建和课题组合作,在环氧水解酶的结构解...
    • 2014-10-13

      李昂课题组完成Hapalindole家族天然产物的全合成

      Hapalindole家族天然产物是一大类具有独特结构特征和多种重要生物活性的吲哚单萜。其化学合成和生物...Hapalindole家族天然产物是一大类具有独特结构特征和多种重要生物活性的吲哚单萜。其化学合成和生物...
    • 2014-09-25

      我室与上海药物所合作发现减肥植物的有效成份及机制

      我室俞飚课题组与中科院上海药物所谢欣课题组合作,发现了减肥植物蝴蝶亚仙人掌(Hoodia gordonii)...我室俞飚课题组与中科院上海药物所谢欣课题组合作,发现了减肥植物蝴蝶亚仙人掌(Hoodia gordonii)...
    • 2014-09-16

      李昂课题组在Daphnilongeranin B骨架的合成研究中取得进展

      虎皮楠生物碱 (Daphniphyllum alkaloids) 是一大类从我国传统的药用虎皮楠科植物中分离获得到的天...虎皮楠生物碱 (Daphniphyllum alkaloids) 是一大类从我国传统的药用虎皮楠科植物中分离获得到的天...
    1112131415
    查看更多
    地址:中国上海市零陵路345号邮政编码:200032
    电话:0086-21-54925000传真:0086-21-64166128E-mail:bnpc@mail.sioc.ac.cn
    版权所有 © 2008- 中国科学院上海有机化学研究所 生命过程小分子调控全国重点实验室沪ICP备05005485号-1