
阿扎菲酮 (azaphilone) 是一类含有吡喃醌母核或其变体的聚酮天然产物,具有抗肿瘤、抗菌、抗炎等生物活性。Acremolactone B (1) 是Sassa等从真菌Acremonium roseum I4267中发现的一个结构独特的阿扎菲酮型天然产物,含有一个四取代吡啶环和五个连续手性中心。该分子具有良好的除草活性,但其自然稀缺性限制了进一步的生物学研究。
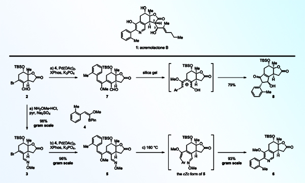
中国科学院上海有机化学研究所生命过程小分子调控全国重点实验室李昂课题组致力于芳香天然产物的合成研究,系统地发展了电环化-芳构化策略用于构建多取代芳环,实现了daphenylline、rubriflordilactone A、xiamycin A、clostrubin、rubriflordilactone B、aflavazole、ileabethoxazole、pseudorubriflordilactone B等天然产物的合成。最近,该课题组研究人员运用氮杂-6 电环化-芳构化策略,实现了acremolactone B的首次和克级合成 (Angew.Chem.Int.Ed.e202314800)。他们首先利用 [2 + 2] 环加成、Baeyer-Villiger氧化等反应规模化制备了溴代烯醛2;再将该烯醛转化为相应的肟 (3),并与烯基硼酸酯4进行Suzuki-Miyaura偶联,得到氮杂三烯5;该化合物在加热条件下发生氮杂-6 电环化和甲醇消除,生成含有四取代吡啶环的四环中间体6。值得一提的是,2与4直接偶联所得的共轭二烯醛7易于发生iso-Nazarov环化反应转化为环戊烯酮8。环化途径的迥然不同源自于醛和肟在亲电性方面的微妙差异。最后,通过C2位酰基化和C3羰基的非对映选择性还原引入侧链并建立所需的立体化学,完成了acremolactone B的克级规模合成。此项工作展示了电环化-芳构化策略在杂芳香天然产物合成中的威力,也为acremolactone B生物学功能研究奠定了物质基础。
相关论文的第一作者为巴梦雨。此项研究受到先正达公司、自然科学基金委、中国科学院、科技部、上海市科委等资助。李昂研究员获得新基石科学基金会的科学探索奖资助。

图1. 阿扎菲酮型天然产物acremolactone B合成的关键步骤
附件下载: