
FR901464是由假单孢菌Pseudomonas sp. No. 2663产生具有高效抗肿瘤活性的天然产物,对多种肿瘤细胞体外IC50为0.6-3.4 nM。研究表明,FR901464及其类似物可以抑制真核细胞中前体mRNA的剪接,进而抑制癌细胞的生长,其良好的生物活性和独特的作用机制吸引了化学合成、药物化学及化学生物学等学科广泛的关注。
生命有机化学国家重点实验室唐功利课题组多年来一直致力于FR901464生物合成机制研究。在前期的工作中,已经成功地克隆了其生物合成基因簇,通过体内基因中断和体外生化实验相结合,证实了FR901464是由trans-AT PKS-NRPS-HCS杂合酶体系催化并以特殊的甘油单元作为PKS起始单元合成的(J. Am. Chem. Soc. 2011, 133, 2452-2462);随后通过体外生化研究揭示了一种特殊的Baeyer-Villiger氧化介导的聚酮链解离途径(ACS Catal.2013, 3, 444−447)。
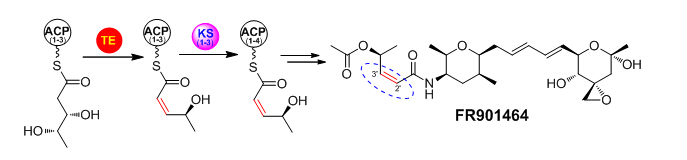
在I型聚酮合酶(PKS)或非核糖体聚肽合成酶(NRPS)催化的生物合成途径中,硫酯水解酶功能域(thioesterase,TE)通常分布于PKS或者NRPS的末端,链延伸完成之后催化聚酮链或者聚肽链的水解或者进一步的大环化。最近,课题组通过体外生化实验,首次证实了在FR901464聚酮链延伸过程中,位于PKS内部的一个TE功能域行使脱水酶(DH)的功能,催化了顺式双键的生成。进一步的实验证明,位于TE功能域下游的KS可以选择性将脱水之后的PKS链转移到后续的ACP上,进而进行下一步的链延伸(J. Am. Chem. Soc. 2014, 136, 4488-4491)。该结果不仅表明聚酮合酶功能域可能具有全新的功能,同时也揭示了聚酮天然产物中顺式双键形成的一种新机制。

附件下载: