
Three Rings in One Step: A Quick Approach to IKD-8344
Dr. Yang Zou and Prof. Dr. Yikang Wu
Angew. Chem. Int. Ed. DOI: 10.1002/anie.201201395
http://onlinelibrary.wiley.com/doi/10.1002/anie.201201395/pdf
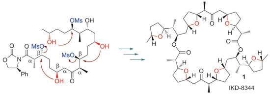
A highly efficient enantioselective total synthesis of the natural antibiotic IKD-8344 is achieved through a convergent route. This route features an otherwise impossible concurrent formation of the THF rings from a linear polyketide precursor through intramolecular O alkylations of mesylates in competition with normally rather facile β elimination and/or α racemization reactions (see scheme, Ms=methanesulfonyl).

附件下载: