
上海有机所发展有机催化新模式:双试剂手性离子对催化
近日,上海有机所的中科院天然有机合成化学重点实验室赵刚课题组通过研究发展出了双试剂手性离子对的催化策略,该策略基于廉价、易得的天然手性源(如氨基酸、生物碱),设计、合成了一系列新型手性有机催化剂,并将其作为手性Br?nste酸或Lewis碱应用于不对称催化Strecker等类型的反应,取得优异的产率、对映选择性。该研究成果已发表在国际知名期刊Nature Communications上(论文链接)。

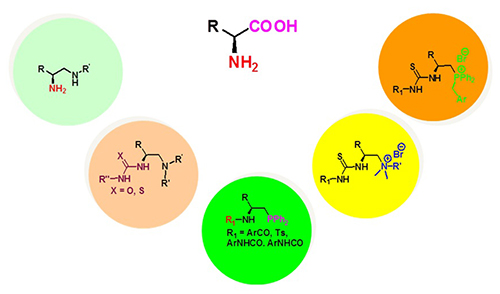
图-1:氨基酸衍生的手性有机催化剂
众所周知,生命过程中酶催化的化学反应具有条件温和、立体专一性、高的催化活性等优点,但同时具有反应底物普适性差的缺点。使用低分子量的有机化合物模拟酶的催化活性、选择性以及揭示其催化机制,始终是化学和生物学研究者认识自然,并服务于社会的不竭动力和追求。
从酶最基本的结构单元氨基酸出发,经过简单化学转化发展出具有酶催化剂的优点同时克服其缺点的结构多样的有机小分子催化剂库,从而实现“源于自然,优于自然”人工酶催化剂的目标。在此研究思路基础上,中科院天然产物合成化学重点实验室赵刚课题组基于廉价、易得的天然手性源(如氨基酸、生物碱),设计、合成了一系列新型手性伯胺-仲胺、伯胺-叔胺、伯胺-膦、叔胺-硫脲、含氢键相转移催化剂等有机小分子催化剂。它们能够高效、高对映选择性催化碳-碳键、碳-氧键以及碳-氟键形成等反应,催化多组分串联反应一步形成多个手性中心并且反应具有较广的底物普适性,其中一些反应方法学已应用于复杂天然产物的合成及手性药物及其中间体的合成,具有较好的应用前景。
亲核性膦催化方法广泛地应用于不对称有机反应,但同时存在亲核性膦催化剂的催化当量较高、反应类型较窄等问题。基于氨基酸设计、合成手性有机膦与丙烯酸酯组成的一类双试剂的手性离子对,并将其作为手性Br?nste酸或Lewis 碱应用于不对称催化Mannich(Angew. Chem. Int. Ed. 2015,54, 1775)和 Strecker (Nature Communications, 2016, 7, 12720)等类型反应中,取得优异的产率、对映选择性,该类反应具有低催化当量以及反应时间短的特点。初步揭示的反应机理,可以观察到手性非线性效应在同一反应中随底物不同而变化。
该课题组所发展出来的双试剂手性离子对的催化策略和概念拓展了手性膦催化反应的范围,可能带来新的反应与应用。上述研究工作得到了国家自然科学基金委、上海市优秀学科带头人项目的资助。

图-2:双试剂手性离子对催化
附件下载:

