
上海有机所在三氟甲基化反应研究方面获得重要进展
含有三氟甲基官能团的芳香杂环化合物通常具有很好的药理活性而备受关注,然而,如何温和、高效地实现芳香杂环化合物的三氟甲基化一直是合成化学上的一大挑战。三氟甲基芳基锍盐基本上都是用于亲电三氟甲基化反应,自上个世纪70年代锍盐被首次合成以来,从未有人研究过它们的氧化性能。
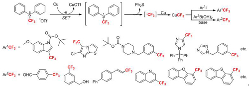
上海有机所有机氟化学院重点实验室的的肖吉昌研究小组发现三氟甲基二苯基锍盐可以被Fe、Pd(PPh3)4、Zn、Ag、CuI或Cu等还原。其中,三氟甲基二苯基锍盐被铜粉还原生成的CuCF3,是具有很强三氟甲基化能力的活泼中间体。该中间体可以与ArI反应,得到偶联产物ArCF3。该方法适用于各种类型的杂环底物,能以几乎定量的产率得到目标产物。这部分工作已在Angew. Chem. Int. Ed.上发表 (Angew. Chem. Int. Ed.2011, 50, 1896-1900),并被选为 “hot paper”;Synfacts也进行了评述(Synfacts, 2011, 5, 546)。另外,在碱的参与下,由锍盐产生的CuCF3还可以与Ar2B(OH)2反应,偶联生成三氟甲基化产物(Chem. Commun. 2011, 47, 9516-9518)。
类似地,三氟甲基二苯基锍盐还可以被无机还原剂还原产生三氟甲基自由基(·CF3)。[Ph2SCF3]+[OTf]-被雕白粉和保险粉等还原后产生的·CF3,可以与末端芳基烯烃加成,生成苄基自由基中间体,然后经空气中的氧气氧化,得到羰基三氟甲基化产物 (Chem. Commun., 2011, 47, 6632-6634)。

这些研究工作获得了国家自然科学基金委、中国科学院和上海市科委的资助。
附件下载:

