• 学术成就
  • 学术风范
  • 社会活动
  • 时光剪影
  • 纪念册
您当前的位置:
  • 首页科学名录蒋锡夔学术风范
  • 学术风范
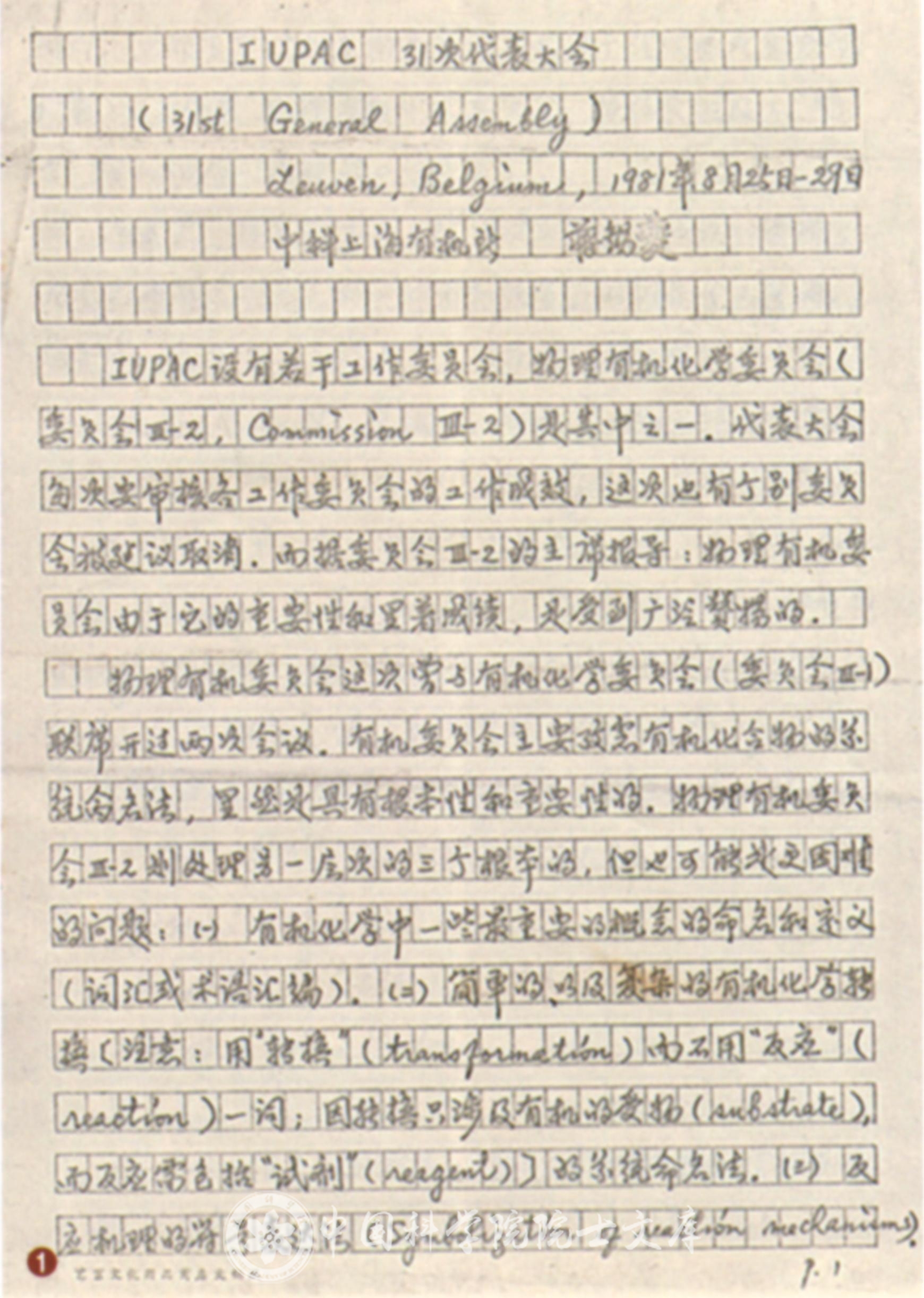
    • 参加31届IUPAC化学会纪要

    • 蒋锡夔:为祖国效力,我一点都不后悔

    • 蒋锡夔:真善合美

    • 理想之星永远照耀我的命运

    • 德为人之本

    • 有机整体

    • 关于科学的思想方法的一些认识

    • 真善合美:蒋锡夔传

    • 蒋锡夔院士90华诞志庆图册

    • 蒋锡夔

    12
    查看更多
    版权所有 © 2023 中国科学院上海有机化学研究所沪ICP备05005485号-1
    电话:0086-21-54925000传真:0086-21-64166128
    地址:中国上海市零陵路345号邮政编码:200032